QUOTE(scgoh123 @ Sep 20 2014, 05:45 PM)
Are you taking physics? When is your trial Exam? Mine starts on 29th September

The earliest among all schools in Malacca (and Maybe in Malaysia?)
If you don't mind, can you share with me your trial exam papers?

Yes, yes I am. My trial commenced on the 22nd Sept. and ended on 25th Sept.
I will post them up here once I get them. Hope you're able to share your trial papers too. Anyway, here's a short recap on my trials exam:
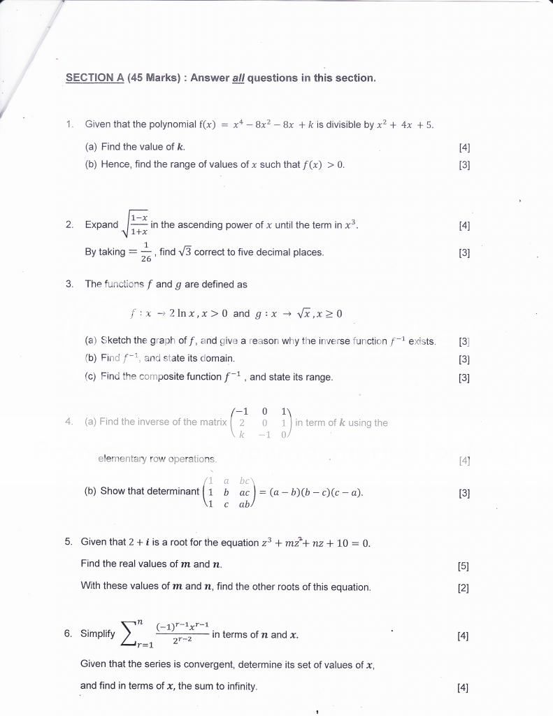
22nd Sept- Mathematics T-This is one of the most toughest paper that I've gone through so far. I cringed right off the bat after I failed to find the solution to the very first question that pertains to
Polynomials. For the question involving
Complex numbers for both Section A and B, I only managed to solve a portion of them due to the lack of time. Overall a horrible paper. In Section A, I only managed to completely solve a
Matrices question and a few other sub-questions, as well as only a portion of a question in Section B due to time constraint. I'm sure that I will fail this paper, I don't think that I'll even come out with more than 20 marks.
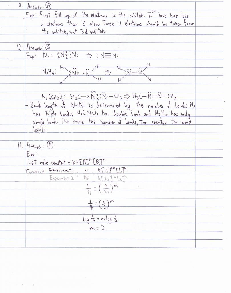
23rd Sept.- Chemistry-For this paper, I particularly start off with essay and it was fine until I realised I make a blunder or two in it. I had to redo the whole essay and I've already wasted roughly 10 mins for that. Another essay was fine, though I wasn't able to completely do the whole sub-question. As for the structured questions, I failed to answer a question about

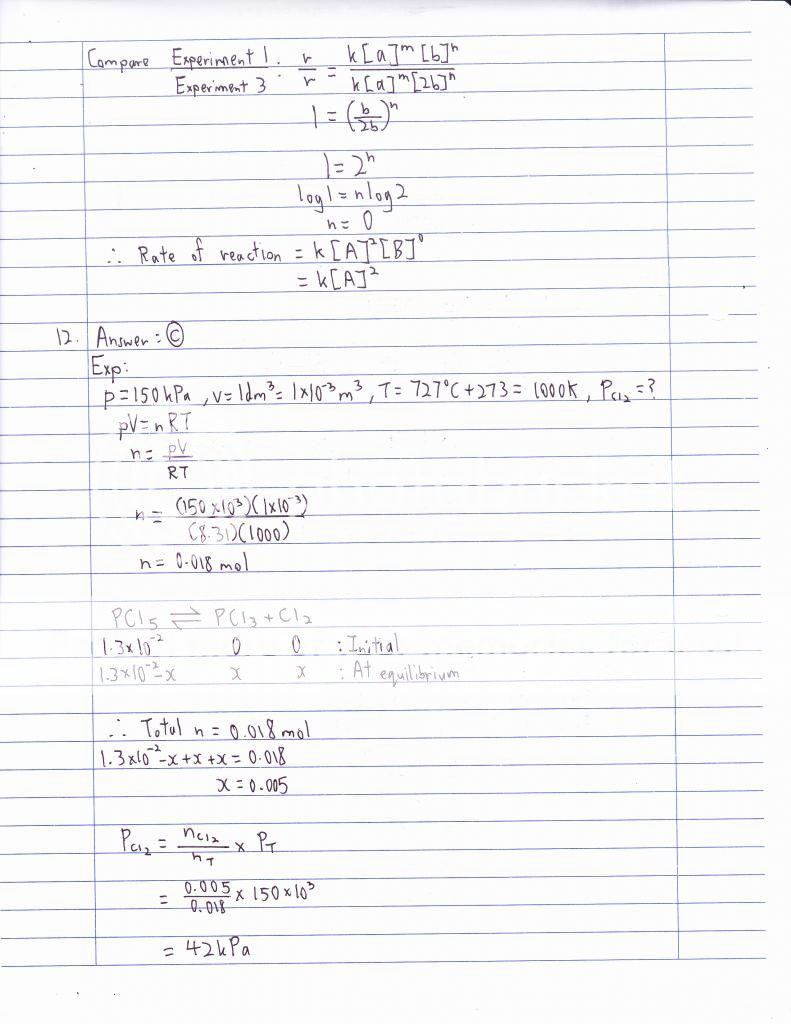
. For the second structured section, I only answered one and blanked the rest. As for objective section, I only managed to do 5 questions out of the total 15. Better than the Maths T paper, but, due to some blunders especially in the essay and due to the scarcity of time, I left most of the structured questions undone. I will mostly ended up failing in this paper too.
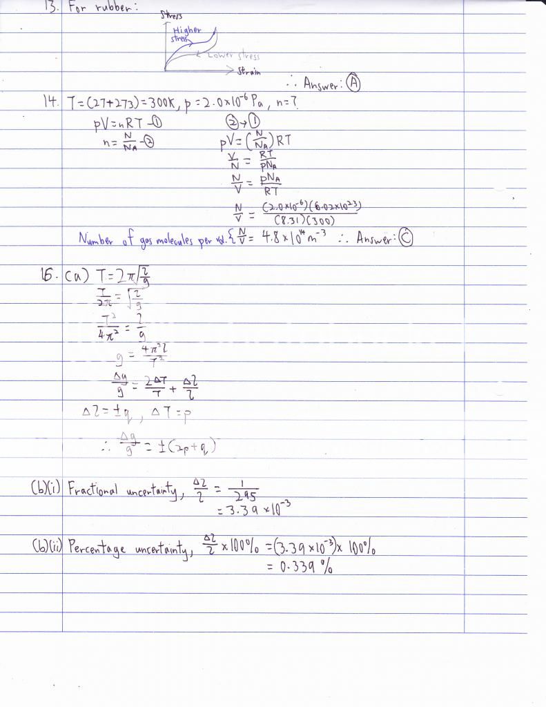
24th Sept.- Physics- Just like Chemistry, I did the exact same order: Essay → Structured → Objective. I was able to complete the first essay question regarding uncertainties, but after the exam I realised that I made some errors in the sub-questions, so I lost some marks there. For the second essay question pertaining to
Deformation of Solids, I was unable to answer a few sub-questions, but the horrible part was, I made a silly mistake when substituting the wrong values into the Young's modulus. Luckily I was able to noticed that mistake, or otherwise I could have lost 5 marks just like that. I redid it and wasted more time on that.
The second part of the essay was on
Kinetic Theory of Gases. I lost tonnes of marks when it comes to defining the equipartition of energy, root-mean-square and another simple Physic terms. I wasn't able to complete several questions in the structured section, and again, I completed only 9 questions total in the objective. The paper was the easiest if compared to Chemistry and Maths T, but due to some mistakes in the essay section and the redoing part which was time consuming, I'm unable to complete most of my objective questions. Overall, it was badly done.
25th Sept.- Pengajian Am-Structure section was the part where I reckon I can garner more marks. The questions regarding the
Kewarganegaraan and
Keahlian Dewan Negara was straight-forward. For essay, the only problem that I faced was giving only 4 points(2+2) in the second question. I managed to do only 6 questions in the objective section as I was running out of time. I didn't re-checked on how my essays were, so I might end up losing more marks than I can imagine due to some blunders. Overall, not as bad as Maths T and Chemistry, but I hope that I can get at least a C in this paper.
This is by far my worst performance ever in any of the exams that I have taken since in primary school. I will mostly fail my Maths T and Chemistry. I have no idea on how I'll score in both Physics and PA, but a C or C- for both subjects is all I ask for.