Welcome Guest ( Log In | Register )

29 Pages « < 12 13 14 15 16 > » Bottom

Outline · [ Standard ] · Linear+

 Ask a Mathematical Physicist

views
     
TSCritical_Fallacy
post Jan 26 2014, 06:46 PM

∫nnộvisεr
Group Icon
VIP
3,713 posts

Joined: Nov 2011
From: Torino
QUOTE(delsoo @ Jan 26 2014, 06:06 PM)
for this question why there's not 2 time constant during 0.04 till 0.06 s ?
Could you rephrase your question with clarity, please?

2τ = 0.02 sec
TSCritical_Fallacy
post Jan 26 2014, 07:35 PM

∫nnộvisεr
Group Icon
VIP
3,713 posts

Joined: Nov 2011
From: Torino
QUOTE(Akatsuki0895 @ Jan 26 2014, 07:05 PM)
1)Determine whether this mapping is a function:
x |--->the length of the line from the origin to (0,x),x element of real numbers
the answer is no...but i don't really understand the question and the answer.
DEFINITION ::
Let X and Y be sets of real numbers. A real-valued function of a real variable, x from X to Y is a correspondence that assigns to each number x in X exactly one number y in Y.
TSCritical_Fallacy
post Jan 26 2014, 08:44 PM

∫nnộvisεr
Group Icon
VIP
3,713 posts

Joined: Nov 2011
From: Torino
QUOTE(delsoo @ Jan 26 2014, 08:22 PM)
-x*2 ???
*
Why did you use the multiplication operator *?

Where did the negative sign come from?

Which differentiation formula did you apply that comes with the negative sign?
TSCritical_Fallacy
post Jan 26 2014, 08:54 PM

∫nnộvisεr
Group Icon
VIP
3,713 posts

Joined: Nov 2011
From: Torino
QUOTE(delsoo @ Jan 26 2014, 08:37 PM)
i mean when time =0.04 to 0.06s, why power of e is not 2 since 0.04 to 0.06 is 2 time constant ...
Typo error. Moreover, it doesn't show the full workings because the author assumes all readers have strong algebra basics. But the graph is correctly sketched. Perhaps you should show your workings here.
TSCritical_Fallacy
post Jan 26 2014, 11:21 PM

∫nnộvisεr
Group Icon
VIP
3,713 posts

Joined: Nov 2011
From: Torino
QUOTE(delsoo @ Jan 26 2014, 11:04 PM)
I mean -x to.the power of 2. Ps I.haven't learn integration. Perhaps you can correct me
∂soo,

Your answer −x² is correct. My point is, you must have a basis to find the anti-derivative of −2x if you want to evaluate ∫ (−2x) dx. Please share with me, what Differentiation Rule did you use? Type out the formula in LaTeX for clarity. The more you figure out yourself, the better you learn math. I'm just guiding you. icon_rolleyes.gif
TSCritical_Fallacy
post Jan 27 2014, 10:09 PM

∫nnộvisεr
Group Icon
VIP
3,713 posts

Joined: Nov 2011
From: Torino
QUOTE(ystiang @ Jan 27 2014, 05:27 PM)
can you teach me how to space out in mathURL LaTeX input?
I tend to use these two for spacing:

x \quad y → user posted image

x\; y → user posted image

http://en.wikipedia.org/wiki/Help:Displayi...formula#Spacing
TSCritical_Fallacy
post Jan 27 2014, 10:18 PM

∫nnộvisεr
Group Icon
VIP
3,713 posts

Joined: Nov 2011
From: Torino
QUOTE(maximR @ Jan 27 2014, 02:27 PM)
Physics questions
Q1.
Hailstones with an average mass of 0.04 kg fall vertically and strike a flat roof at 12 m/s. In a period of 5.0 minutes, 6 000 hailstones fall on each square metre of roof and rebound vertically at 3.0 m/s. Calculate the force on the roof if it has an area of 30 m^2.
Not 216 N? unsure.gif What is the answer?

QUOTE(maximR @ Jan 27 2014, 02:27 PM)
Q2.
A car of mass 1 000 kg tows a caravan of mass 600 kg up a road which rises 1 m vertically for every 20 m of its length. There are constant frictional resistances of 200 N and 100 N to the motion of car and caravan respectively. The combination has an acceleration of 1.2 m/s^2 with the engine exerting a constant driving force. Assume that g = 10 m/s^2. Find :

(a) the driving force ,
(b) the tension in the tow bar
You don't need to find the angle of inclination θ because you can determine cos θ and sin θ from the Pythagorean theorem. The hypotenuse is 20 m and altitude (height) is 1 m. icon_idea.gif
TSCritical_Fallacy
post Jan 27 2014, 11:12 PM

∫nnộvisεr
Group Icon
VIP
3,713 posts

Joined: Nov 2011
From: Torino
QUOTE(maximR @ Jan 27 2014, 02:27 PM)
Mathematics questions
Q1.
The interval on which the function f(x) = log1/2 (x^2 - 2x - 3) is monotone increasing is (  ) ?
ninty and ystiang have already covered this. sweat.gif

QUOTE(maximR @ Jan 27 2014, 02:27 PM)
Q2.
If real numbers satisfy (x + 5)² + (y − 12)² = 14², then the minimum value of x² + y² is (  ) ?
Where did you get this question at A-level? sweat.gif This one is interesting because it is a Multivariable Optimization problem with Equality Constraint, which is considered an Advanced Math topic. In standard form, the problem is to

user posted image

where (x, y) is a 2-dimensional vector called the design vector, f(x,y) is termed the objective function, and g(x,y) = 0 is known as the equality constraint. There are few methods to solve it such as the popular Lagrange multiplier method and the Direct Substitution method, but I prefer the Solution by the method of Constrained Variation. The basic idea is to find a closed-form expression for the first-order differential of f(df) at all points at which the constraint is satisfied. The desired optimum points are then obtained by setting the differential df equal to zero, that is introduced without proof:

user posted image

Equation (2) can be rewritten as

user posted image

So we have

user posted image

Equation (3) gives

user posted image

The optimum values of x can be obtained substituting Eq.(4) into Eq.(2):

user posted image

The optimum values of y can be obtained from Eq.(4):

user posted image

The optimum values of function f can be obtained from Eq.(1):

user posted image

This solution gives the minimum value of x² + y² as

user posted image

REMARK ::
-------------
Please note that f(x,y) = x² + y² is an infinite paraboloid in a 3-D plot. The constraint g(x,y) is the dark blue circle in the contour plot. The objective is to find the minimum value of f(x,y) around the constrained geometry g(x,y). From the contour plot, you can also estimate the maximum value of f(x,y) occurs at somewhere near x = -10 and y = 25 (see the lighter band). icon_idea.gif

user posted image

This post has been edited by Critical_Fallacy: Jan 28 2014, 09:00 AM
TSCritical_Fallacy
post Jan 28 2014, 09:55 AM

∫nnộvisεr
Group Icon
VIP
3,713 posts

Joined: Nov 2011
From: Torino
QUOTE(maximR @ Jan 27 2014, 02:27 PM)
Q2.
If real numbers satisfy (x + 5)² + (y − 12)² = 14², then the minimum value of x² + y² is (  ) ?
Using SPM Calculus, you can solve it by Direct Substitution.

If we choose to eliminate y from Equation (1): f(x,y), then Equation (2): g(x,y) gives

user posted image

Thus the objective function f(x,y) becomes

user posted image

Plotting Equation (6a):

user posted image

Plotting Equation (6b):

user posted image

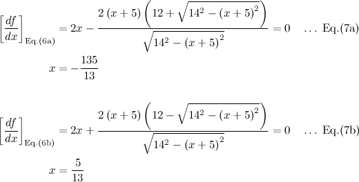
The desired optimum points are then obtained by setting the derivative df/dx of Eq.(6a) & Eq.(6b) equal to zero.

user posted image

The optimum values of y can be obtained from Eq.(5):

user posted image

The optimum values of function f can be obtained from Eq.(1):

user posted image

This solution gives the minimum value of x² + y² as

user posted image
TSCritical_Fallacy
post Jan 28 2014, 10:43 PM

∫nnộvisεr
Group Icon
VIP
3,713 posts

Joined: Nov 2011
From: Torino
QUOTE(maximR @ Jan 28 2014, 08:57 PM)
user posted image
user posted image
The basic idea of the trigonometric solution is to convert Cartesian coordinate (x, y) to Polar coordinate (r, θ), from 2 variables to 1 variable. Pretty genius! You have learned this already in Critical Tutorial #3: Complex Numbers.

user posted image

user posted image

user posted image

Solution 1: long version

user posted image

user posted image

user posted image

Solution 2: short version

user posted image
TSCritical_Fallacy
post Feb 3 2014, 05:27 PM

∫nnộvisεr
Group Icon
VIP
3,713 posts

Joined: Nov 2011
From: Torino
QUOTE(maximR @ Feb 2 2014, 10:32 PM)
A car of mass 1 000 kg tows a caravan of mass 600 kg up a road which rises 1 m vertically for every 20 m of its length. There are constant frictional resistances of 200 N and 100 N to the motion of car and caravan respectively. The combination has an acceleration of 1.2 m/s^2 with the engine exerting a constant driving force. Assume that g = 10 m/s^2. Find :

(a) the driving force ,
(b) the tension in the tow bar

Krevaki Help please?
恭喜发财,马到成功!

To solve this problem, you have to develop the equations of motion which require a relationship between the forces acting on a particle and the accelerated motion they cause.

user posted image

The general technique is to write down the equation you get by applying Newton’s 2nd law to the combined particle ‘car + caravan’, and then solve the equation for the unknown. To do that, you are advised to draw separate force diagrams for car and caravan. Drawing this diagram is very important since it provides a graphical representation that accounts for all the forces which act on the particle, and thereby makes it possible to resolve these forces into their x, y components in 2-D.

user posted image

It is also common to assume in a model like this that the tow bar is inextensible. That means it will not stretch. For mathematical convenience, we generally assume that the sense of each acceleration component acts in the same direction of as its positive inertial coordinate axis (denoted by the right-arrow notation → for horizontal axis, and the up-arrow notation ↑ for vertical axis).

user posted image

I do one example (Part B). We are mainly concerned with the horizontal components because we want to determine the tension T. Ask Krevaki or kingkingyyk to check! icon_rolleyes.gif

user posted image

This post has been edited by Critical_Fallacy: Feb 3 2014, 09:19 PM
TSCritical_Fallacy
post Feb 4 2014, 12:02 PM

∫nnộvisεr
Group Icon
VIP
3,713 posts

Joined: Nov 2011
From: Torino
QUOTE(maximR @ Feb 3 2014, 10:07 PM)
Thank you Critical_Fallacy and kingkingyyk, and 恭喜发财 to you too!  thumbup.gif
CLASSIC PROBLEMS ::

The main objective is to help you to develop the ability to analyze classic problems in a simple and logical manner and to apply to its solution a few, well-understood, basic Physics principles.

Question 1

The two blocks shown start from rest. The horizontal plane and the pulley are frictionless, and the pulley is assumed to be of negligible mass. Determine the acceleration of each block and the tension in each cord.

user posted image

(Ans :: a_A = 8.40 m/s², a_B = 4.20 m/s², T_ADC = 840 N, T_CB = 1680 N)

Question 2

The bob of a 2-m pendulum describes an arc of circle in a vertical plane. If the tension in the cord is 2.5 times the weight of the bob for the position shown, find the velocity and the acceleration of the bob in that position.

user posted image

(Ans :: a_T = 4.90 m/s², a_N = 16.03 m/s², v = ±5.66 m/s)

Question 3

Determine the rated speed of a highway curve of radius r = 125 m banked through an angle u = 18°. The rated speed of a banked highway curve is the speed at which a car should travel if no lateral friction force is to be exerted on its wheels.

user posted image

(Ans :: 71.8 km/h)
TSCritical_Fallacy
post Feb 5 2014, 08:31 AM

∫nnộvisεr
Group Icon
VIP
3,713 posts

Joined: Nov 2011
From: Torino
QUOTE(delsoo @ Feb 3 2014, 09:12 PM)
Hi all I have. No idea on how to get the asymptotes for the graph of y square.
By the definition of asymptotes, when both x and y become very large, the equation user posted image approximates to user posted image (also can be rearranged to user posted image), since user posted image.

But using the difference of squares formula, user posted image is also the equation of two straight lines user posted image and user posted image.

So, for large values of x and y, the graph approximates to a pair of straight lines. Hence, the pair of lines user posted image and user posted image are the asymptotes of the graph. icon_rolleyes.gif

user posted image
TSCritical_Fallacy
post Feb 5 2014, 08:43 AM

∫nnộvisεr
Group Icon
VIP
3,713 posts

Joined: Nov 2011
From: Torino
Hi delsoo,

If you look closely at the equation user posted image, y tends to become very large when x approaches to 0, because user posted image. Therefore, the third asymptote is a vertical line user posted image. sweat.gif

user posted image
TSCritical_Fallacy
post Feb 5 2014, 04:39 PM

∫nnộvisεr
Group Icon
VIP
3,713 posts

Joined: Nov 2011
From: Torino
QUOTE(Krevaki @ Feb 5 2014, 10:56 AM)
My answer agrees with the ones obtained by kingkingyyk and Critical_Fallacy, but that is assuming I interpret the question in the same way. However, can I interpret "for every 20 m of its length" as the hypotenuse since the combination is being driven "up a road"? hmm.gif

p/s: It is still Lunar New Year, I would like to enjoy it while I still can.
You are correct! The length of the hypotenuse is 20 m. I overlooked this when I sketched the diagram. sweat.gif
TSCritical_Fallacy
post Feb 6 2014, 12:27 AM

∫nnộvisεr
Group Icon
VIP
3,713 posts

Joined: Nov 2011
From: Torino
QUOTE(delsoo @ Feb 3 2014, 09:57 PM)
If k=-1 then how can the function have 2 roots?? Since it only intersect the graph at 1 point
user posted image
Obviously the graph has only one real root (or repeated root) at x = 0. The question does not specify the number of real roots. The solution given is a graphical method. If you sketch the graph nicely and understand how a function works, this approach is easy.

user posted image

user posted image

Otherwise, go for the analytical method in Post #870.

This post has been edited by Critical_Fallacy: Feb 6 2014, 10:17 AM
TSCritical_Fallacy
post Feb 6 2014, 10:17 AM

∫nnộvisεr
Group Icon
VIP
3,713 posts

Joined: Nov 2011
From: Torino
QUOTE(delsoo @ Feb 5 2014, 11:50 PM)
Critical_Fallacy thanks for your explaination! I can understand it now! can you expalin post#859 pls?  sweat.gif
*
This is analytical method:
user posted image

If a (coefficient of x²) is nonzero, the condition for having real roots:
user posted image

Find the k-values that satisfy the inequality.
user posted image

Results:
user posted image

But what defines a (coefficient of x²) is k − 1. Since a must be nonzero, therefore
user posted image
TSCritical_Fallacy
post Feb 6 2014, 04:51 PM

∫nnộvisεr
Group Icon
VIP
3,713 posts

Joined: Nov 2011
From: Torino
user posted image

Interesting question from VengenZ! Must invite kingkingyyk, Krevaki, ninty, v1n0d, ystiang. sweat.gif

It can be shown that

user posted image

and

user posted image

I think the question is to find

user posted image

This post has been edited by Critical_Fallacy: Feb 6 2014, 04:56 PM
TSCritical_Fallacy
post Feb 7 2014, 02:22 PM

∫nnộvisεr
Group Icon
VIP
3,713 posts

Joined: Nov 2011
From: Torino
QUOTE(acgerlok7 @ Feb 7 2014, 01:09 PM)
if not, i feel like im actually requesting to be spoonfeed..  sad.gif
Spoon-feed is to feed (someone) by using a spoon. But I feed using thought-provoking words. sweat.gif
TSCritical_Fallacy
post Feb 8 2014, 05:41 PM

∫nnộvisεr
Group Icon
VIP
3,713 posts

Joined: Nov 2011
From: Torino
QUOTE(maximR @ Feb 7 2014, 06:52 PM)
Q1. Particle A moves with kinetic energy E and momentum p. It collides elastically with particle B which is at rest. After collision the particles move together. Calculate :

a) the kinetic energy of A and total kinetic energy of the system after collision

b) the magnitude of momentum of A and of the system after collision
Perhaps you can imagine the collisions between billiard balls. If they “collide elastically” the colliding particles do not stick together. What do you mean by “move together”?

user posted image

29 Pages « < 12 13 14 15 16 > » Top
 

Change to:
| Lo-Fi Version
0.0610sec    0.33    7 queries    GZIP Disabled
Time is now: 24th December 2025 - 04:38 AM