Hi everyone,
I've updated a new, comprehensive library for your reference: an Enrich Points Redemption Table. You can find this new tool in the main menu.
This table is designed to help you quickly assess and plan your Enrich points redemption. Here is a breakdown of its features:

Diagram 2: Filters for Personalized Search
I've created several filters to help you narrow down your search, including:
Countries: Filter by your desired destination country.
Enrich Points Bracket: Filter by the range of points you wish to redeem.
Plane Type: Filter by the aircraft model.

Diagram 3: Quick Redemption Overview
Once you apply the filters, you will see key information displayed, such as:
The name of the destination.
The fixed Enrich Economy Saver redemption points (typically limited to 6 seats per flight).
The fixed Enrich Business Saver redemption points (typically limited to 3 seats per flight).
Note: The Enrich points required will increase once these limited "Saver" seats have been redeemed. I have not included the dynamic, higher redemption rates as they are practically impossible to track.

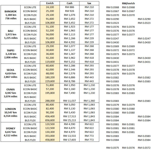
Diagram 4: Detailed Redemption Requirements
Clicking on the destination name will lead you to a detail page showing:
The required points.
The total airport tax (these are for reference only and are subject to regular revision).

Diagram 5: Evaluating Your Cost-to-Redeem
Click on the accordion (expandable section) to view a breakdown of the cost to redeem the seat (for either Economy Saver or Business Saver). This section includes:
The money you need to spend (to convert credit card points).
Examples of various credit card usages to achieve the required points.
Please note: The points conversion value is calculated based on a fixed rate and does not factor in promotional campaigns like the "10-20% bonus Enrich redemption campaign" or "10-20% Enrich redemption discount campaign" often held by Malaysia Airlines.

Diagram 6: Aircraft and Seating Details
This section provides supplementary, non-essential information about the flight, such as:
The aircraft model you will be taking.
Seat size and cabin layout.
Feel free to read this if you have specific seating or aircraft requirements.


Purpose of the Tool:
I created this resource after two years of meticulous tracking of my credit card usage and niche requirements for my own Enrich points redemption strategy. Thank you very much for reading, and I hope you find this tool valuable!